ЗАДАЧИ КРАЕВОЙ МАТЕМАТИЧЕСКОЙ ОЛИМПИАДЫ 1996 год

X класс

1 день

1. Решить уравнение: .

2. Точка, находящаяся на числовой оси, может передвигаться в положительном направлении с шагом , а в отрицательном – с шагом (kОN).

а) Доказать, что при любых различных m, n О Z точка за несколько шагов может попасть из m в n.

б) При k=5 найдите наименьшее возможное число шагов, за которые можно попасть из 1945 в 1996.

3. Дан прямоугольник со сторонами и . Можно ли все вершины прямоугольника связать системой отрезков так, чтобы их суммарная длина была меньше ?

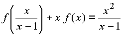
4. Найдите функцию f(x), если она определена для и удовлетворяет соотношению

.

2 день

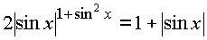
1. Сколько отрицательных корней имеет уравнение ?

2. На каждой стороне параллелограмма взято по точке. Площадь четырехугольника с вершинами в этих точках равна половине площади параллелограмма. Доказать, что хотя бы одна из диагоналей четырехугольника параллельна стороне параллелограмма.

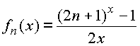
3. Пусть при задано семейство функций , где nОN. Доказать, что каждая прямая (mОN) пересекает график любой из функций заданного семейства в точке с натуральными координатами.

4. Пусть a, b, c – натуральные числа. Доказать, что .