Ответы и указания к задачам краевой математической олимпиады
1996 года
ХI класс
1 день
|
1. |
|
|
2. |
Для |
|
известно, что |
|
|
Для |
|
имеем |
|
но |
|
|
Поэтому |
|
и т.д. |
|
запятой. Тогда |
|
имеет sn таких знаков, а |
|
имеет
sn2 знаков и т.д. Таким путем получим, что у R будет snk десятичных|
знаков после запятой. Однако |
|
а это больше чем 1995, при |
|
|
Следовательно s = 0, т.е. – целое число, а значит и R = 1995; |
|
|
должен быть целым, но это не так. |
|
4. |
Т.к. |
|
, |
|
то |
|
, |
|
т.е. |
|
. |
2 день
|
1. |
Решением неравенства будут все те х, для которых |
|
, |
|
т.е. |
|
. |
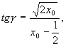
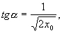
2.
|
|
AM – касательная к параболе в точке М; FM – луч, выходящий из F; МК – перпендикуляр из точки М на ось Ох. Введем обозначения: РOAM=a, РFMA=b, РMFK=g. |
||
|
|
|
|
|
|
Но угол отражения равен углу падения, т.е. b. Т.к. оказалось, что |
|||
|
|
то отсюда следует, что отраженный луч будет горизонтальным. |
|
3. |
Пусть |
|
Через точки M, P, Q |
проведём окружность. Оказывается, что радиус ОМ будет к ней касательным.
|
Тогда |
|
Итак, |
|
|
4. |
1) Пусть n = 2 и |
|
Тогда положим |
|
|
где |
|
|
получим |
|
т.е. |
|
Надо доказать, что |
|
|
Это неравенство равносильно такому: |
![]()
|
Если учесть связь между x и y, то приходим к очевидному |
|
|||
|
2) Пусть имеем |
|
тогда |
|
|
|
Если |
|
и |
|
то по предыдущему |
|
|
и окончательно получим |
|
и т.д. |
|
3) Если |
|
, то положим |
|
, где |
|
|
. Тогда имеем |
|