ЗАДАЧИ КРАЕВОЙ МАТЕМАТИЧЕСКОЙ ОЛИМПИАДЫ 1996 год

XI класс

1 день

1. Угол между боковым ребром и основанием правильной четырехугольной пирамиды равен , высота равна h. Через точку на высоте, отстоящую на от вершины, проведена плоскость, перпендикулярная одному из боковых ребер. Найти площадь сечения.

2. В остроугольном треугольнике ABC высоты пересекаются в точке О. Доказать, что радиусы окружностей, описанных вокруг треугольников АВС, АОВ, АОС, ВОС равны между собой.

3. При любом натуральном , причем данное выражение содержит радикалов (а1, а2,...а1995 - десятичные знаки числа, стоящего под последним радикалом). Доказать, что rn не может быть конечной десятичной дробью.

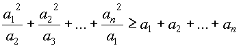
4. Для положительных чисел а12,...,аn доказать неравенство .

2 день

1. Решить неравенство .

2. Пусть дана парабола . В точке находится точечный источник света, всякий луч которого, достигая параболы, отражается от нее в соответствии с законом физики: "угол падения равен углу отражения". Доказать, что все отраженные лучи будут горизонтальными.

3. Пусть на окружности с центром в точке О радиуса 1 взята произвольная точка М. На луче OS, выходящем из О, взяты точки P и Q на расстоянии r и соответственно . Доказать, что РSPM+РSQM-РSOM есть величина постоянная (не зависящая от М); чему она равна.

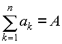
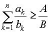
4. Пусть а1,а2,...,аn и b1,b2,...,bn - две последовательности положительных чисел, причем , . Тогда .