КРАЕВАЯ ОЛИМПИАДА ПО МАТЕМАТИКЕ
1997 - 1998 уч.г.10 класс
решения
1 день
|
|
общее количество спирта |
|
Ответ: 72%.
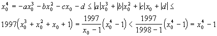
2.Пусть x
0 >1998 – корень уравнения. Тогда
|
Итак, |
|
Противоречие. Значит, такого корня нет. |
|
можно записать в виде y = kx + b. Уравнение |
|
|
имеет два различных корня при условии: |
|
Т.к. последнее неравенство должно выполняться при всех ненулевых значениях а, то
b = 2k – 1,то
|
стороны ВС и АВ. |
|
, но т.к. |
|
, то |
|
|
Значит |
|
. Точно так же |
|
При этом |
|
. Значит, |
|
меньше |
|
|
Следовательно, |
|
меньше |
|
2 день
|
5. |
Пусть |
|
, где |
|
, перепишем наше равенство |
|
в виде |
|
. |
||||||||
|
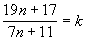
Значит, либо |
|
либо |
|
. |
||||||
Рассмотрим первую систему неравенств

и
.
Рассмотрим вторую систему неравенств
.
Ответ: n=1.
|
7. Воспользуемся неравенством |
|
8. Пусть гирьки и их массы обозначены по ходу часовой стрелки
|
буквами |
|
начиная с некоторого места. |
На левую чашку: A и С, на правую: F и G.
|
a) |
|
б) |
|
|
в) |
|
. |
|
a) |
|
б) |
|
|
в) |
|