КРАЕВАЯ ОЛИМПИАДА ПО МАТЕМАТИКЕ
1997-1998 уч. г. 11 класс
решения
1-й день
|
1. |
|
|
. |
|
2. |
|
. |
|
3. |
|
|
1) Пусть |
|
. Тогда |
|
|
|
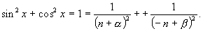
т. е. |
|
|
|
Тогда |
|
|
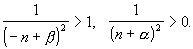
Случай n = 0 и n = 1 невозможен, т.к. тогда |
|
|
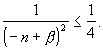
При |
|
|
|
Получаем, что
n = 2.|
Из этого следует |
|
|
или, что то же, |
|
|
|
|
Теперь получаем |
|
|
и, значит,
.
|
2) Пусть |
|
|
|
|
|
|
т.е. |
|
|
|
и, значит, |
|
|
Ответ: |
|
2 день.
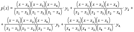
|
|
|
|
|
|
где |
|
– различные простые |
числа.
|
7. |
|
|
убывает на промежутке |
|
|
, при этом |
|
|
Значит, существует |
|
единственное |
|
такое, что |
|
На |
|
|
|
на |
|
|
. Т.к. |
|
и т.к. на первом |
промежутке
f(x) возрастает, а на втором убывает, получаем, что|
f(x) > 0 для |
|
