КРАЕВАЯ ОЛИМПИАДА ПО МАТЕМАТИКЕ

1997 - 1998 уч.г. 11 класс

задания

1 день

  1. Решить уравнение (x2-2x+2)2+3x(x2+2x+2)=30x2.
  2. Дана последовательность а1, а2, а3, ... , где an=n2+n+1 при любом n1. Докажите, что произведение любых двух соседних членов этой последовательности также является ее членом.
  3. Сколько ребер может иметь выпуклый многогранник?
  4. Решите уравнение
([p] - наибольшее целое число, не превосходящее p).

 

КРАЕВАЯ ОЛИМПИАДА ПО МАТЕМАТИКЕ

1997 - 1998 уч.г. 11 класс

задания

2 день

  1. В треугольной пирамиде все плоские углы при вершине-прямые. Доказать, что вершина пирамиды, точка пересечения медиан основания и центр описанного вокруг пирамиды шара лежат на одной прямой.
  2. Существует ли 1998 нецелых рациональных чисел, произведение любых двух из которых - целое число?
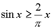
  3. Доказать, что при справедливо неравенство
  4. Указать многочлен третьей степени p(x) такой, что для попарно различных x1, x2, x3, x4 выполняются равенства:
, где y1, y2, y3, y4, - любые наперед заданные числа (полином Лагранжа).