Ответы и указания к зональной олимпиаде по математике

1995/96 учебный год

XI класс


 

1. Нельзя.

2. х1=х2=...=хn=0. Других решений нет.

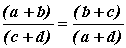
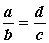
3. Положим SАВЕ =а , SВСЕ =b , SСDЕ =с , SDAЕ =d. Из условий задачи имеем :  . Отсюда получаем: (a-c)(a+b+c+d)=0, т.е. a = с .=k.

4. Пусть данный треугольник АВСB =200. Пристроим к нему с двух сторон такие же треугольники А’BA и СВС’. Тогда А’ВС’=600 и длина ЅА’C’Ѕ=b. Пусть А’C’ пересекается со сторонами АВ и ВС в точках D и Е . Тогда ЅА’C’Ѕ= ЅA’DЅ+ +ЅDEЅ+ЅEC’Ѕ. Это равенство превращается в требуемое соотношение , если в правую часть его подставить значения всех слагаемых.
 

5. Наше неравенство равносильно такому: n>(1+1/n)n. При увеличении n левая часть неравенства возрастает, а правая ограничена. Дело в том, что если хn=(1+1/n)n+1 , то xn-1 /xn>1 в силу неравенства Бернулли: (1+a)n1+na и ясно, что (1+1/n)n<хn.