Задачи зональной олимпиады по математике 1995/96 учебный год.

X класс

1. Сколько целых корней имеет уравнение x2+(2 - a)x - a - 3=0, когда параметр

a пробегает все целые значения ?

2. В треугольнике АВС точка F- середина стороны ВС ; из вершины В опущен перпендикуляр с основанием D на биссектрису угла САВ ; прямые DF и АВ пересекаются в точке Е. Найдите DE, если АВ = а и АС < a.

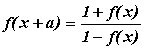
3. Пусть функция f(x) определена на всей числовой прямой, кроме всех точек вида: xk + a, k = 1, 2, ... , a № 0, где f(xk)= 1 и .

Доказать, что f(x) - периодическая функция.

4. На плоскости выбрано 5 точек с целыми координатами. Докажите, что середина одного из отрезков, соединяющих их, также имеет целые координаты.

5. Доказать, что при положительных a, b и с справедливо неравенство :

ab(a+b-2c)+bc(b+c-2a)+ca(b+c-2b)> 0.