XI класс
1. 20 корзин расставлены по кругу. Можно ли разложить в эти корзины 99 арбузов так, чтобы количество арбузов в любых двух соседних корзинах отличалось на единицу ?
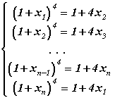
2. Решить систему уравнений

3. Диагонали АС и
ВD
выпуклого четырехугольника АВСD пересекаются в точке Е.
Отношение высот треугольников АВС и АDС, опущенных
на сторону АС, равно отношению высот треугольников ВСD
и BАD, опущенных на сторону ВD. Найдите
,
если
= k.
4. Дан равнобедренный треугольник с боковой стороной b, основанием a и углом при вершине 200 . Доказать, что
a3+b3=3ab2
5. Доказать, что при
n>2 справедливо неравенство