ЗОНАЛЬНАЯ ОЛИМПИАДА ПО МАТЕМАТИКЕ

1997 - 1998 уч. г. 10 класс, задания

  1. 10 точек расположены на прямолинейном отрезке длины 25. Можно ли утверждать, что среди этих 10 точек наверняка найдутся 4 точки, расположенные на отрезке длины 9?
  2. Можно ли представить дробь в виде суммы , где m, n, k - различные натуральные числа?
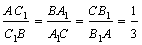
  3. В треугольник АВС вписан треугольник А1В1С1 так что, его вершины А1, В1 и С1 лежат соответственно на сторонах ВС, АС, и АВ, и так, что

.

Найти S, если S = S.

  1. Можно ли в клетках таблицы 6 х 6 расставить числа +1, -1, 0 так, чтобы все суммы - в каждом столбце, в каждой строке и на каждой из двух диагоналей - были различны?
  2. Решить уравнение
.