8 класс
Методические рекомендации
Составитель: Подберезкина А.И., преподаватель кафедры теории функции.
1 часть
Перед тем, как приступить к решению задач из раздела 2, следует внимательно ознакомится с разделом 1, где приведены теоретические сведения и разобраны примеры решения задач.
Рассмотрим вначале понятие абсолютной величины действительного числа.
Определение. Абсолютной величиной (модулем) действительного числа а называется само число а, если оно неотрицательное, и число противоположное а, если а отрицательное.
|
Абсолютную величину числа а обозначают |а| и читают “модуль а ”. |
|
|
Из определения абсолютной величины числа следует: |
|
|
Примеры: |
|
|
|
т.к. |
|
|||
|
|
т.к. |
|
Отметим некоторые |
|||||
|
свойства абсолютной величины. |
||||||||
В самом
|
деле, по определению имеем: |
|
|
|
|
Следовательно, |
|
|
2. |
|
(теорема верна для любого конечного числа |
|
сомножителей). Докажем это свойство. Рассмотрим все случаи: |
||
|
1) Если а=0 и b=0 или а=0, но |
|
или |
|
но b=0 , |
|
|
то очевидно, что |
|
||||
2)Если а > 0 и
b > 0 тогда а=|a| , b=|b| и ab > 0. Значит, |ab|=ab=|a||b|.3)Если а < 0 и
b < 0, тогда -а=|a|, -b=|b| и ab > 0. Значит, |ab|=ab=(-a)(-b)=|a| |b|.
4) Если
a > 0 и b < 0, тогда a=|a|, -b=|b| и ab < 0. Значит,|ab|=-ab=a (-b)=|a| |b|,
и свойство 2 доказано.|
3. |
|
где |
|
Попытайтесь доказать самостоятельно! |
Известно, что каждому действительному числу можно поставить в соответствие точку числовой прямой, тогда эта точка будет геометрическим изображением данного действительного числа. Каждой точке числовой прямой соответствует ее расстояние от начала отсчета, или длина отрезка, начало которого в точке начала отсчета, а конец - в данной точке. Это расстояние, или длина отрезка рассматривается всегда как величина неотрицательная. Таким образом, геометрической интерпретацией модуля действительного числа а будет расстояние от начала отсчета до точки, изображающей число.
Геометрическое толкование смысла |
a| наглядно подтверждает, что |-a|=|a|.|
Отсюда легко понять, что |
|
|x-a|=|a-x|. |
|
Пример 2. а) Если |a|=5, то а1= 5 и а2=-5 или |
|
Следовательно, |
данному равенству удовлетворяют два числа, которым на числовой прямой соответствуют 2 точки;
|
б) Если |x|=b, где необходимо |
|
то |
в) Если
|x|=b, то|
г) Если |a|<6; то а<6, если |
|
т.е. |
|
|
|
a<6 или a>-6, если a<0, - т.е. -6<a<0, |
||
откуда -6<a<6. Следовательно, неравенству |
a|<6 удовлетворяет множество точек промежутка (-6; 6) числовой прямой;
д) Если |
a|>7, то a>7, если a>0, или -a>7, если a<0, т.е. a<-7. Откуда , a>7 и a<-7. Следовательно, неравенству |a|>7 удовлетворяют два промежутка|
числовой оси: |
|
и |
|
Рассмотрим теперь примеры решения уравнений и системы уравнений, содержащих абсолютные величины. Их можно разбить условно на следующие группы:
|
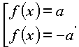
1) Уравнения вида |f(x)|=a, где |
|
По определению абсолютной |
|
|
величины, данное уравнение распадается на совокупность двух |
|||
|
уравнений: f(x)=a и b f(x)=-a. Записывается это так: |
|
||
|
Причем, все решения совокупности будут решениями данного |
|||
уравнения.
|
Пример 3. Решить уравнение |x-4|=3. По определению модуля имеем |
||
|
совокупность уравнений |
|
откуда х 1=7, х2=1. |
|
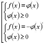
2) Уравнения вида f(|x|)=a. По определению абсолютной величины, |
|
|
данное уравнение распадается на совокупность двух систем: |
|
|
3) Уравнение вида |
|
Данное уравнение распадается на |
|
|
совокупность двух систем: |
|
||
|
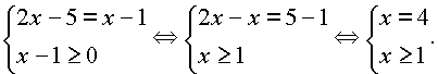
Пример 4. Решить уравнение: |2x-5|=x-1. Решим сначала систему: |
|||
|
|
Затем вторую систему: |
||
|
|
Итак, получим 2 решения х 1=4 и |
||
|
х 2=2, которые, очевидно, удовлетворяют данному уравнению. В этом |
|||
|
можно убедится, сделав проверку: если х 1=4, то |
|||
|
|8-5|=3, т.е. |3|=3 верное тождество; если х 2=2, то |
|||
|
|4-5|=1, т.е. |-1|=1 - верное тождество. |
|||
|
4) Уравнение вида |
|
||
Рассмотрим решение уравнения такого типа сразу на примере.
Пример 5. Решить уравнение
|x-1|+|x-2|=1. Сначала нужно расставить на числовой оси точки, в которых подмодульные выражения обращаются в ноль. В данном случае это точки х=1 и х=2.Нетрудно заметить, что эти точки разбивают ось на три промежутка. Далее следует определить знаки подмодульных выражений на каждом из промежутков. Итак, мы имеем
|
1) при |
выражения, достаточно взять любую точку из указанного промежутка, например, х=0 в нашем случае и подставить в выражения х
-1: 0-1= -1<0 и х-2: 0-2=-2<0). Далее, т.к. подмодульные выражения неположительны, то по определению модуля имеем: |x-1|= -x + 1 и |x-2|= -x+2.|
В итоге получим: при |
|
||
|
Точка х=1 принадлежит промежутку |
|
следовательно, является |
|
корнем уравнения.
|
2) при |
|
имеем х- 1>0, |
|
Тогда
|x-1| = x-1 и |x-2| = -x+2. Получим уравнениех
-1-х+2=1 или3)при х > 2 имеем
|x-1| = x-1, |x-2| = x-2. Получим х - 1+х - 2 = 1 или 2х=4, откуда х = 2. Но х = 2 не принадлежит указанному промежутку, поэтому в этом случае решений нет. Окончательный ответ получим, объединив все решения. Итак, 1< x Ј 2 - все действительные числа из этого промежутка будут решениями исходного уравнения.Пример 6. Решить уравнение
| | | | x | -2| -1| -2| = 2. По определению абсолютной величины, имеем: | | | | x | -2| -1| -2| = ± 2, т.е. решаем 2 уравнения: 1) | | | x | -2| -1| = 4 и 2) | | | x | -2| -1| = 0. Решаем первое уравнение: | | | x | -2| -1| = 4 ,откуда | | | x | -2| -1| =± 4. Или | | | x | -2| = 5 и | | x | -2| = -3 (последнее уравнение решений не имеет!).Далее,
|x| - 2=± 5 или |x| = 7 и |x| = -3 (опять нет решений). Итак, |x| = 7 имеет решения x1,2 = ± 7 Решаем второе уравнение: | | | x | -2| -1| = 0. Тогда | |x| -2| -1 = 0 и | |x| -2| = 1, откуда |x| - 2 =± 1 или |x|=3 и |x|=1, откуда x3,4 = ± 3, x5,6 = ± 1. Ответ: ± 1; ± 3; ± 7.Перейдем теперь к рассмотрению простейших графиков функций, содержащих абсолютную величину.
I. График функции
y = f (|x|).По определению модуля имеем: для х >0, y = f (x); для
x <0, y = f (-x). Вообще, график функции y = f (-x) симметричен графику функции y = f (x) относительно оси oy. Следовательно, чтобы построить график функции y = f (|x|), достаточно построить график функции y = f (x) для х >0, а затем достроить его левую часть, симметрично правой относительно оси oy.Пример 7.
Построить график функции y = 2|x| -2.а) строим график функции
y = 2x - 2 для x > 0;б) достраиваем его левую часть для
x < 0, симметрично построенной относительно оси oy.

II. График функции
y = | f(x) |Под абсолютной величиной функции
f(x) (т.е. под записью |f(x)||
принято понимать функцию вида: |
|
Отсюда вытекает правило построения графиков функции
y = | f(x)|:а) строим график функции
y = f (x);б) на участках, где график расположен в нижней полуплоскости, т.е. где
f (x) <0, строим кривые, симметричные построенным относительно оси ох.Пример 8.
Построить график функции y = | x - 2 |.а) строим график функции
y = x - 2;б) график нижней полуплоскости преобразовываем вверх симметрично оси ох.

III. График функции
y = | f (|x|)|.Строим график в следующей последовательности:
а) строим график функции
y = f (x) для x і 0;б) строим график функции
y = f (-x) для x <0;в) участки графика, расположенные в нижней полуплоскости, преобразовываем на верхнюю полуплоскость симметрично оси ох.
Пример 9
. Построить график функции y = |1 -| x | |.

Пример 10.
Построить график функцииy = |x -
1| + |x - 3| .Точки х = 1 и х = 3 разбивают числовую ось на 3 промежутка: