8 класс

Задания

Составитель: Подберезкина А.И., преподаватель кафедры теории функции.

Решить уравнения:

  1. |x-10| = 7 Ответ: 3; 17.
  2. |2x-5| = 2-x Ответ: Ж
  3. |x+1| - |x-1| = 2 Ответ: x і 1
  4. |x+2| + |x| + |x-2| = 4 Ответ: 0
  5. |x| = x+3 Ответ: -3/2
  6. |4x-1| - |2x-3| + |x-2| = 0 Ответ: 0; 2/5
  7. | |x-1| -1| = 2 Ответ: -2; 4
  8. Построить графики функций:

  9. а) y = 1/ 3|x| -2

б) y = 3 -1.5 |x|

в) y = 1-|x|

г)*

  1. а) y = 2 |x-3|

б) y = |x+2| +1

в) y = - |x-1|

  1. y = |2 |x| -3|

11. y = |x+2| + |x-1| - |x-3|

2.12.* |y| = 1-x

2.13.* |y| = |x|

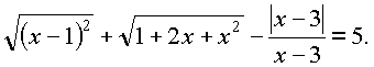
2.14.** Решить уравнение:

 

Ответ: x=2; x= -2.

Указание: воспользоваться известным свойством