ВПЕРЕД  |  НАЗАД  |  ГЛАВНАЯ  |  ПЛАНИМЕТРИЯ  |  СТЕРЕОМЕТРИЯ 

6.1. Прямоугольный треугольник,
тригонометрические соотношения
 
        В прямоугольном треугольнике сторона, лежащая против прямого угла, называется гипотенузой, а две другие стороны – катетами. Известна теорема Пифагора: квадрат гипотенузы равен сумме квадратов катетов, т.е.   (см. рисунок). Очень важно уметь с использованием тригонометрии находить соотношения между сторонами прямоугольного треугольника. Синус (косинус) острого угла равен отношению противолежащего (прилежащего) катета к гипотенузе, а также тангенс (котангенс) острого угла равен отношению противолежащего (прилежащего) катета к прилежащему (противолежащему) катету. 
     Например,  согласно имеющемуся рисунку.

      Используя прямоугольный треугольник и необходимые преобразования, доказать равенства:
1) ;  2) 
3)    4) 
5)  6) .
Упражнение 6.1.1.
а) 
   Дано: a, a. 
   Найти: x, y.
б) 
   Дано: c, a. 
   Найти: b, x, y.
в) 
   Дано: a, b . 
   Найти: x, a.
г) 
    Дано: a, c . 
   Найти: x, a.
Ответ: а) x = a tg a; б) , x = c sin a, y = c cos a;

в) ; г)  .

      Необходимо научиться свободно связывать соотношениями стороны и углы прямоугольного треугольника с использованием тригонометрических и обратных тригонометрических функций.

      Приведем примеры решения двух заданий вступительного экзамена.

Пример 6.1.2. (КубГУ, матем., 1994 г.)

     Вычислить катеты прямоугольного треугольника, зная длину c его гипотенузы и длину 1 биссектрисы одного из острых углов.

Решение
 
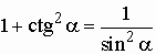
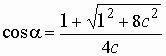
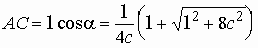
Полагаем РA=2 a. Из  DADC  имеем  AC = 1Чcos a, а из DABC  -  AC = c Чcos 2 a. 
Учитывая , получаем . 
Откуда . Так как cos a > 0, то  и поэтому .
Ответ: .

Пример 6.1.3. (КубГУ, матем., предварит. экз., 1994 г.)

     Периметр прямоугольного треугольника ABC равен 10 . Из вершины прямого угла B на гипотенузу опущена высота BD. Периметр треугольника ABD равен 6. Найти величину угла A.

Решение
 
       Положим РA= a. Из  DABC имеем  AB = AC Чcos a и BC = AC Чsin a, откуда периметр DABC  равен AC + AC Чcos a + AC Чsin a, т.е. AC Ч(1+ cos a + sin a) =10. 
Из  DABD  имеем AD = AB Чcos a и BD = AB Чsin a, а значит периметр DABD  равен AB + AB Чcos a + AB Чsin a,т.е. AB Ч(1+ cos a + sin a) =6 
Таким образом,  и . 
Ответ: .


ВПЕРЕД  |  НАЗАД  |  ГЛАВНАЯ  |  ПЛАНИМЕТРИЯ  |  СТЕРЕОМЕТРИЯ