ВПЕРЕД  |  НАЗАД  |  ГЛАВНАЯ  |  ПЛАНИМЕТРИЯ  |  СТЕРЕОМЕТРИЯ

7.1. Призмы
 @ Призма – это многогранник, у которого две грани, лежащие в параллельных плоскостях, равны, а все другие грани – параллелограммы. Эти две грани называют основаниями, а остальные – боковыми гранями. Ребра, не являющиеся сторонами оснований, называют боковыми ребрами призмы. Если боковое ребро перпендикулярно основанию, то такую призму называют прямой, а прямую призму, у которой основание – правильный многоугольник, называют правильной. Ясно, что не всякая правильная призма представляет собой правильный многогранник (только куб!). Призма, у которой в основании n-угольник, называется n-угольной. Расстояние между плоскостями оснований призмы называют высотой призмы. Призма, у которой в основании параллелограмм, называется параллелепипедом. Прямая призма, являющаяся параллелепипедом, называется прямым параллелепипедом. Параллелепипед, все грани которого прямоугольники, называют прямоугольным. Ясно, что куб – прямоугольный параллелепипед.
 
        Отрезок, соединяющий вершины параллелепипеда, не лежащие на одной грани, называется диагональю параллелепипеда. 

      Для прямоугольного параллелепипеда имеют место равенства V = abc и  
где V – объем; a = AB; b = AD;  (докажите второе равенство!).

Упражнение 7.1.1.

      Диагональ прямоугольного параллелепипеда равна 9, а диагонали каких-то двух граней равны  и . Найти объем параллелепипеда. Ответ: 112.
 @ Многоугольник, вершины которого являются точками пересечения прямых, проходящих через боковые ребра призмы, и плоскости, перпендикулярной к этим прямым, называют перпендикулярным сечением призмы. Ясно, что любые два перпендикулярных сечения призмы –равные многоугольники, так как один из них получается из другого в результате параллельного переноса вдоль прямой, содержащей боковое ребро.
 
Следует различать два понятия: перпендикулярное сечение и сечение, перпендикулярное ребру призмы. Так, на рисунке вверху заштриховано перпендикулярное сечение призмы , а внизу заштриховано сечение, перпендикулярное ребру  (его вершины лежат на ребрах призмы).
      Для любой призмы имеют место следующие формулы
 
S полн = S бок + 2S осн,
(1)
S бок = P^сеч Ч1,
(2)
V = S осн Чh,
(3)
V = S^сеч Ч1,
(4)
где S полн – площадь полной поверхности призмы;

S бок – площадь боковой поверхности, являющейся объединением всех боковых граней призмы;

S оснплощадь одного из оснований призмы;

P^сеч   и   S^сеч – соответственно периметр и площадь перпендикулярного сечения призмы;

1 – длина бокового ребра;

V – объем призмы;

h – высота призмы.

      Для прямой призмы 1 = h  и  многоугольник в основании равен перпендикулярному сечению, а значит

S бок = P осн Ч1,                                  (5)
V = S осн Ч1,                                      (6)

где P осн – периметр одного из оснований этой прямой призмы.

Пример 7.1.2. (КубГУ, физич., 1990 г.)

      Объем правильной треугольной призмы равен V. Угол между диагоналями двух граней, проведенными из одной и той же вершины, равен a. Найти сторону основания призмы.

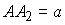
Решение Так как призма является правильной, то ее боковые грани – равные друг другу прямоугольники. Отсюда следует, что диагонали  и  прямоугольников  и  равны (см. рисунок).
 
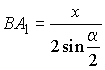
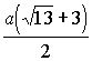
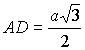
      Медиана AD равнобедренного треугольника  является высотой и биссектрисой, а значит, ввиду  имеем . Полагая BC = x, т.е. , из прямоугольного треугольника  находим . Отсюда из прямоугольного треугольника  по теореме Пифагора получаем высоту призмы 
.
Так как  , то .
Теперь, учитывая , по формуле (6) получаем
.
Отсюда окончательно находим

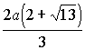
  или .

Ответ: .

 
       Краткая схема решения примера 7.1.2 выглядит следующим образом: сначала из  через x и a выразили , затем из  через x и a выразили , далее из DABC через x выразили Sосн , и наконец, по формуле (6) V = S осн Ч1 получили уравнение относительно x. Следует отметить, что как и в примере 7.1.2 большинство стереометрических конкурсных заданий удается свести к решению некоторых простейших планиметрических задач.

 
Упражнение 7.1.3.

      В основании прямой призмы лежит равнобедренный треугольник с углом 120° и боковой стороной a. Острый угол между скрещивающимися диагоналями боковых граней, проходящих через боковые стороны основания, равен a. Найти объем призмы.

Указание. На рисунке  – исходная прямая призма, у которой AB = BC = a, РABC = 120° и угол между скрещивающимися прямыми  и  равен a.
 
        Достроим к этой призме еще одну правильную призму  (см. рисунок). Ясно, что  и, значит,  . 

Так как  – высота исходной и достроенной призмы, а  (покажите это), то объемы этих призм равны. Теперь нам нужно найти объем правильной призмы со стороной основания a и углом между диагоналями боковых граней, проведенными из одной и той же вершины, равным a.

      Пришли к ситуации, уже рассмотренной в примере 7.1.2.

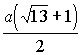
Ответ: .

      В указании к решению упражнения 7.1.3 мы построили призму, о которой не упоминалось в условии задания, что позволило несколько упростить само решение. В следующем примере рассмотрим ситуацию, когда в условии задания вообще не идет речь о призме, но тем не менее ее построение опять облегчает подход к решению задания.

Пример 7.1.4. (КубГУ, матем., 1995 г.)

Концы отрезка АВ лежат на гранях двугранного угла, равного 60°. Из точек А и В опущены перпендикуляры АС и ВD на ребро двугранного угла. Найти АС, если CD = 24 см, BD = 8 см, AB = 25 см.

Решение
 
          Согласно условию задания мы можем построить прямую призму (см. рисунок), у которой  см,  см, AB = 25 см. Из прямоугольного треугольника  по теореме Пифагора находим  
  (см). 

       Далее, полагая AC = x, из  по теореме косинусов имеем 
 

т.е.  или . Отсюда  (см) и  (см).

       Ответ: 3 или 5 см.

Упражнение 7.1.5.

В пространстве даны четыре точки А, В, С и D так, что AB = 1, CD = 2, BC = 3 и AD = 4, причем прямые АВ и CD перпендикулярны к прямой ВС. Найти величину двугранного угла с ребром ВС между полуплоскостями, содержащими треугольники АВС и BCD.

 
        Указание. Сначала докажите, что точки А, В, С и D не могут лежать в одной плоскости. Это будет обоснованием того, что можно, как указано на рисунке, построить прямую призму, у которой a – искомый угол.
      Ответ: 120°.

      Наиболее часто в конкурсных заданиях рассматривают сечения призмы различными плоскостями. При решении такого рода заданий необходимо уметь строить эти сечения и обосновывать свои построения. Для иллюстрации приведем пример.

Пример 7.1.6. (КубГУ, матем., 1992 г.)

      В правильной треугольной призме высота и сторона основания равны a . Через сторону основания проведена плоскость, составляющая с плоскостью основания угол 60°. Найти периметр полученного сечения.

Решение
 
 
      Как видно из рисунка 1, при решении этого задания очень важно выяснить вид сечения – треугольник или четырехугольник? Для этого, например, сначала построим правильную призму , у которой AB = a и треугольник  является сечением призмы плоскостью, проходящей через ВС под углом 60° к плоскости АВС (рис. 2). Из правильности этой призмы следует  (как и при решении примера 7.1.2), а значит, в равнобедренном треугольнике  медиана  является высотой, т.е. . По теореме о трех перпендикулярах проекция AD наклонной  на плоскость АВС тоже будет перпендикулярна ВС, а значит,  – линейный угол двугранного угла и по условию . 
В равностороннем треугольнике АВС находим медиану  и из прямоугольного 
треугольника  получаем . 
 
 
      Теперь на отрезке  отметим точку  так, чтобы . Проведем через точку  плоскость параллельно основанию АВС. Эта плоскость пересечет отрезки  и  соответственно в точках  и , а отрезки  и  – соответственно в точках М и К. В результате мы построили правильную призму , у которой сторона основания и боковое ребро равны a, т.е. мы построили призму из условия задания. Сечением этой призмы плоскостью, соответствующей условию задания, будет четырехугольник ВМКС.

      Далее, так как всякая плоскость пересекает параллельные плоскости по параллельным прямым, то  и MK ||BC. Отсюда следует, что ВМКС – трапеция и  подобен , в частности, . Из прямоугольного треугольника  по теореме Пифагора находим

.

     Так как , то из подобия треугольников  и  получаем

.

     Отсюда  и

.

      Аналогично из треугольника  (как и из треугольника ) можем получить  (в частности, ВМКС – равнобедренная трапеция). Теперь окончательно находим периметр сечения ВМКС

.

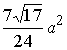
      Ответ: .

      Замечание к решению примера 7.1.6. В условии не требовалось устанавливать, что сечение – равнобедренная трапеция. Тем не менее в большинстве конкурсных заданий приходится определять с обоснованием вид сечения. Также следует отметить, что указанный способ определения вида сечения является далеко не единственным, хотя достаточно аргументированным.

Упражнение 7.1.7.

В правильной треугольной призме боковое ребро и сторона основания равны a. Через среднюю линию основания проведена плоскость, составляющая с плоскостью основания угол 60°. Найти периметр полученного сечения.
 
        Указание. Обоснуйте возможность двух вариантов расположения сечения: оно может быть треугольником или трапецией (см. рисунок). 
Ответ:  или .

Теперь перейдем к рассмотрению одной очень важной формулы, связывающей площади плоской фигуры и ее ортогональной проекции на плоскость. Как правило, эта формула наиболее часто применима при решении задач на призму.
 
       Ортогональной проекцией фигуры (или тела) на данную плоскость называют множество точек пересечений с этой плоскостью перпендикулярных к ней прямых, проходящих через все точки этой фигуры (или тела). Если фигура Ф с площадью S лежит в плоскости a, а фигура  с площадью  является ортогональной проекцией фигуры Ф на плоскость b, то имеет место равенство 

, (7) 
где  – угол между плоскостями a и  b.

 
 

В случае   вырождается (полагаем ), а в случае a || bили a = b ( f = 0) имеем Ф =  (очевидно, ).

Пример 7.1.8. (КубГУ, физич., 1990 г.)

      Основанием прямой четырехугольной призмы служит ромб с острым углом a. Под каким углом к плоскости основания надо провести плоскость, чтобы получить в сечении квадрат с вершинами на боковых ребрах призмы?

Решение
 
     Будем считать, что упоминаемую в условии задания плоскость можно провести. Не ограничивая общности рассуждений, полагаем, что две вершины квадрата в сечении совпадают с вершинами призмы (см. рисунок, вершины В и ). Для краткости AB = a и BM = b. Из равенства треугольников MAB и КСВ (по катету и гипотенузе) получаем AM = CK, откуда ввиду AM  ||CK следует AC = MK. Ясно, что b > a.
Поэтому 

(учли, что  РMBK =90° ). Получили cos РABC < 0, т.е. РABC – тупой и, следовательно, РBAD = a – острый, тогда РABC = p - a. Далее, по теореме косинусов из треугольника АВС находим .

     Из прямоугольного треугольника МВК находим , откуда ввиду AC = MK получаем равенство . Поэтому  и .

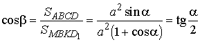
      Учитывая, что ромб ABCD – ортогональная проекция квадрата , и обозначая через  b угол между плоскостью сечения и плоскостью основания, по формуле (7) получаем

, т.е. .

      Ответ: .

Замечание к решению примера 7.1.8. Ясно, что рассматриваемая в решении призма со стороной основания  a имеет наименьшую высоту, когда в сечении можно получить квадрат с вершинами на всех боковых ребрах призмы. В качестве упражнения следует вычислить высоту этой призмы (она равна ). Поэтому более точно в примере 4 ответ должен звучать так: если отношение высоты призмы к стороне основания меньше числа , то ни под каким углом к плоскости основания требуемую в условии задания плоскость провести нельзя; если же указанное отношение не меньше этого числа, то искомый угол будет равен .
 

      Пример 7.1.8 без особого труда можно решить, не используя формулу (7). Приведем задание, в котором использование этой формулы является необходимым.

Упражнение 7.1.9.

      Ребро АВ призмы – сторона основания и сторона прямоугольника, являющегося боковой гранью этой призмы. Двугранный угол призмы при ребре АВ является острым. Под углами в 30°  и 45°  к основанию через ребро АВ проведены две плоскости, пересекающие все боковые ребра призмы. Площади полученных сечений призмы соответственно равны  кв. ед. и  кв. ед. Найти отношение высоты призмы к длине ее бокового ребра.

Указание. Через АВ проведем плоскость перпендикулярно к грани, являющейся прямоугольником. Она пересечет прямые, содержащие боковые ребра призмы, в вершинах ее перпендикулярного сечения, которое будет ортогональной проекцией на эту плоскость основания и двух сечений призмы.
 
       Обозначая через f угол между плоскостью основания и плоскостью перпендикулярного сечения, получим рисунок для линейных углов, стороны которых соответствуют указанным на рисунке плоскостям. 

Согласно формуле (7) получаем равенства 

сеч  
, из которых можно найти f.

      Далее, из формул (3), (4) и (7) можно также получить равенство

.

Ответ: .

 
      Перейдем к иллюстрациям построений плоских сечений многогранников методом следов. Секущая многогранник плоскость пересекает некоторую плоскость  w по прямой линии, называемой следом секущей плоскости на  w. В качестве  w часто рассматривают грани многогранника, и тогда следы секущей плоскости на плоскостях, проходящих через грани, дают представление о виде сечения.

Пример 7.1.10.

      Построить сечение куба  плоскостью, проходящей через середины ребер  и  и вершину С.

Решение
 
        Пусть Е и F – соответственно середины ребер  и . Через a для краткости обозначим секущую плоскость. Так как Е и F принадлежат a, то и прямая EF лежит на a. Поэтому прямая EF – след a на плоскости грани . Пусть G и H – точки пересечения следа EF соответственно с прямыми  и . Точки С, G и H
принадлежат a, а значит, прямые CG и CH – следы a соответственно на плоскостях граней  и . Пусть K и L – точки пересечения следов CG и CH соответственно с ребрами  и . Тогда пятиугольник CKEFL – искомое сечение.

Упражнение 7.1.11. (КубГУ, ФПМ, 1990 г.)

      При условии примера 7.1.10 найти площадь сечения, если ребро куба равно a.

      Указание. Найдите площадь двумя способами. Первый способ: искомая площадь равна сумме площадей трапеции KEFL и треугольника KCL. Второй способ: найдите площадь ортогональной проекции сечения на основание и используйте формулу (7).

Ответ: .

       При построении сечений многогранников полезны следующие утверждения: 1) если точки А и В лежат на плоскости  w, то и прямая АВ лежит на  w; 2) если прямая  параллельна плоскости  w и плоскость, проходящая через , пересекает  w по прямой , то ; 3) прямые пересечения параллельных плоскостей с данной плоскостью тоже параллельны.

     Утверждение 1) мы уже использовали при построении сечения в примере 7.1.10. Приведем пример, иллюстрирующий применение утверждений 2) и 3).

Пример 7.1.12.

     В кубе  на ребрах  и ВС взяты точки Е, F и G соответственно. Построить сечение куба плоскостью, проходящей через Е, F и G.

Решение

Через a обозначим секущую плоскость. Прежде чем находить следы плоскости a на грани куба, построим дополнительную плоскость b, которая проходит через точки Е, G и C. Так как прямая СВ параллельна грани , то b пересекает эту грань по прямой EN (см. рисунок), параллельной СВ. Прямые EG и NC лежат в плоскости b и пересекаются в некоторой точке Р. Так как прямая EG – след a на b, то Р принадлежит a.
 
Но Р принадлежит прямой NC , лежащей на плоскости грани . Поэтому Р и F лежат на плоскости грани  и на плоскости a, т.е. прямая РF – след aна плоскости этой грани. Теперь находим точку К пересечения PF и CD. 
Далее мы могли бы аналогично найти точки пересечения плоскости a с ребрами  и . Но оказывается это можно сделать проще. Сначала замечаем, что KG  – след a на плоскости грани ABCD. Грани ABCD и  параллельны, а значит, a пересекает их по параллельным прямым. Поэтому, проводя из точки Е прямую параллельно KG, найдем точку М пересечения плоскости a с ребром . Аналогично, проводя из точки Е прямую параллельно следу KF плоскости a на грани , находим точку L пересечения a с ребром . Итак, шестиугольник EMFKGL – искомое сечение. 
 

Упражнение 7.1.13. (КубГУ, ФПМ, 1990 г.)

      При условии примера 7.1.12 и с учетом того, что Е, F и G – середины соответствующих ребер и – длина ребра куба, доказать правильность шестиугольника EMFKGL и найти его площадь.

      Указание. При доказательстве правильности шестиугольника недостаточно показать равенство его сторон, надо также показать равенство его углов.

      Ответ: .
 



 ВПЕРЕД  |  НАЗАД  |  ГЛАВНАЯ  |  ПЛАНИМЕТРИЯ  |  СТЕРЕОМЕТРИЯ