@Тела вращения и многогранники могут быть вписаны одно в другое при некоторых ограничениях.
Призма называется вписанной в цилиндр, если ее основания – многоугольники, вписанные в окружности оснований цилиндра, а боковые ребра совпадают с образующими цилиндра.
В цилиндр можно вписать только такую прямую призму, основания которой можно вписать в окружность.
Призма называется описанной около цилиндра, если ее основания – многоугольники, описанные около окружностей оснований цилиндра.
Около цилиндра можно описать только такую прямую призму, основания которой – многоугольники, которые можно описать около окружности.
Очевидно, что у таких цилиндров и призм высоты равны.
Призма называется вписанной в конус, если одно ее основание вписано в окружность сечения конуса плоскостью, параллельной основанию, а другое основание принадлежит основанию конуса.
В конус можно вписать только такую прямую призму, вокруг основания которой можно описать окружность.
Очевидно, что высота вписанной призмы меньше высоты конуса.
Конус называется вписанным в прямую призму, если его вершина принадлежит одному основанию призмы, а основание конуса вписано в другое основание призмы.
Конус можно вписать только в такую призму, в основание которой можно вписать окружность.
Очевидно, что в этом случае высота конуса и высота призмы равны.
Пирамида называется вписанной в конус, если ее ребра совпадают с образующими конуса, а основание вписано в основание конуса.
Попробуйте доказать утверждение
Для того, чтобы в конус можно было вписать пирамиду, необходимо и достаточно, чтобы у нее были равные боковые ребра.
Конус называется вписанным в пирамиду, если его вершина совпадает с вершиной пирамиды, а основание вписано в основание пирамиды.
Докажите утверждение
В пирамиду можно вписать конус тогда и только тогда, когда все апофемы боковых граней пирамиды равны.
Очевидно, что у таких конусов и пирамид высоты равны.
Пирамида называется вписанной в цилиндр, если ее вершина принадлежит одному основанию цилиндра, а основание вписано в другое основание цилиндра.
В цилиндр можно вписать пирамиду, основание которой можно вписать в окружность.
Очевидно, что высота вписанной пирамиды равна высоте цилиндра.
Цилиндр называется вписанным в пирамиду, если одно его основание совпадает с окружностью вписанной в сечение пирамиды плоскостью, параллельной основанию, а другое основание принадлежит основанию пирамиды.
В сечении пирамиды плоскостью, параллельной основанию, получается многоугольник, подобный основанию пирамиды. Следовательно, в пирамиду можно вписать цилиндр только в том случае, если в основании пирамиды – многоугольник, в который можно вписать окружность.
Очевидно, что высота вписанного цилиндра меньше высоты пирамиды.
Многогранник называется вписанным в сферу (шар), если все его вершины лежат на сфере. Такая сфера называется описанной около многогранника.
Докажите утверждения
1. Для того, чтобы около пирамиды можно было описать сферу, необходимо и достаточно, чтобы около основания пирамиды можно было описать окружность.
2. Около любой правильной пирамиды можно описать сферу.
3. Для того, чтобы около призмы можно было описать сферу, необходимо и достаточно, чтобы призма была прямая и около ее основания можно было описать окружность.
4. Около любой правильной призмы можно описать сферу.
Сфера называется вписанной в многогранник (а многогранник – описанным около сферы), если она касается всех его граней.
Полезно уметь доказывать следующие утверждения
1. В любую правильную пирамиду можно вписать сферу (шар).
2. Для того, чтобы в призму можно было вписать сферу, необходимо и достаточно, чтобы в перпендикулярное сечение призмы можно было вписать окружность и чтобы высота призмы была равна диаметру этой окружности.
3. В правильную призму можно вписать сферу тогда и только тогда, когда ее высота равна диаметру окружности, вписанной в основание.
Упражнение 7.7.1.
1. Найти площадь основания правильной призмы, вписанной в цилиндр, радиус основания которого равен R.
Ответ:
,
где n – число сторон.
Очевидно, такой же ответ будет для правильной пирамиды, вписанной в конус.
2. В шар радиуса R вписана правильная четырехугольная пирамида с высотой, равной Н. Как связана сторона основания пирамиды с высотой пирамиды и радиусом шара?
Ответ:
.
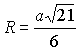
Пример 7.7.2. (КубГУ, матем., 1971 г.).
В шар радиуса R вписана правильная треугольная пирамида с плоским углом a при вершине. Найти объем пирамиды, а также боковую поверхность конуса, описанного около указанной пирамиды.
|
Пусть сторона основания пирамиды равна a, радиус основания конуса,
описанного около этой пирамиды равен r,
тогда
. . |
.DM – диаметр шара. Тогда в сечении шара, проходящем через диаметр DM и точку А, получим прямоугольный треугольник AMD. Из метрических соотношений в прямоугольном треугольнике имеем
,
откуда
.
Тогда площадь основания найдем по формуле
.
И из формулы
находим объем пирамиды
.
Ребро AD по определению описанного конуса является его образующей. Тогда найдем боковую поверхность описанного конуса по формуле S бок = pr1.
.
Ответ:
;
S бок
.
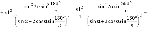
Пример 7.7.3. (КубГУ, матем., 1979 г.)
В конус, образующая которого длины
наклонена к плоскости основания под углом a,
вписана правильная n-угольная
призма, все ребра которой имеют равные длины. Найти полную поверхность
призмы.
По условию все ребра n - угольной призмы равны, следовательно, ее грани – квадраты. Пусть сторона квадрата равна a, тогда
Задача свелась к нескольким
планиметрическим соотношениям. Из прямоугольного треугольника АОК
находим
.
|
Из подобных прямоугольных треугольников АОС и
|
,
откуда
,
тогда S бок
,
.
И окончательно
S п
= S бок + 2


.
Ответ:
.
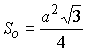
Пример 7.7.4. (КубГУ, матем., 1991 г.)
В основании пирамиды лежит квадрат со стороной а. Высота пирамиды
проходит через середину одного из ребер основания и равна
.
Найти радиус сферы, описанной около пирамиды.
|
Типичной ошибкой при решении этой задачи является утверждение о том, что
центр описанной сферы находится на грани SBC.
В действительности положение точки О не связано с гранью SBC.
В силу равноудаленности точки О от вершин S, A, B, C, D следует, что OABCD – правильная четырехугольная пирамида. Следовательно, на грань ABCD точка О проектируется в точку М – точку пересечения диагоналей. |
.
Следовательно, треугольник SAD
– равносторонний и OASD – правильная
треугольная пирамида. Тогда точка О проектируется на грань SAD
в центр треугольника SAD . Отсюда
,
.
Из треугольника SON находим искомый радиус SO
,
.
Ответ:
.