Пример 3.3.2. (КубГУ, матем., 1994 г.)

Решить неравенство

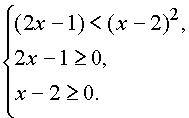
.

Решение:

Неравенство равносильно системе

Откуда равносильными преобразованиями получаем

Ответ: