L
Решить неравенства:|
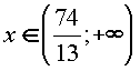
3.3.1. |
|
|
|
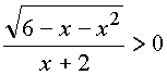
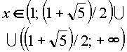
3.3.2. |
|
|
|
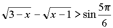
3.3.3. |
|
|
|
3.3.4. |
|
|
|
3.3.5. |
|
|
|
3.3.6. |
|
|
|
3.3.7. |
|
|
|
3.3.8. |
|
|
|
3.3.9. |
|
|
|
3.3.10. |
|
|
|
3.3.11. |
|
|
|
3.3.12. |
|
|
|
3.3.13. |
|
|
|
3.3.14. |
|
|
|
3.3.15. |
|
|
|
3.3.16. |
|
|
|
3.3.17. На координатной плоскости |
|||
|
множество точек, координаты которых удовлетворяют следующим |
|||
|
неравенствам |
|
|
|
|
Найти площадь полученной фигуры. |
S=23/4. |
||
|
3.3.18. |
|
|
|
3.3.19. |
|
|
|
3.3.20. |
|
|
|
3.3.21. |
|
|
|
3.3.22. |
|
|
|
3.3.23. |
|
|
|
3.3.24. |
|
|
|
3.3.25. |
|
|
|
3.3.26. |
|
|
|
3.3.27. |
|
|
|
3.3.28. |
(сделать замену |
|
|
3.3.29. |
|
|
J