L Решить неравенства:

3.1.13.

3.1.14.

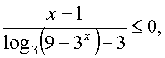
3.1.15.

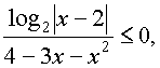
3.1.16.

3.1.17.

J