Пример
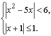
3.4.2. (КубГУ, матем., устн.экз.).Решить систему неравенств

Решение
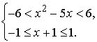
Исходная система, согласно сформулированному утверждению, равносильна системе неравенств

Откуда, с помощью равносильных преобразований, и применяя метод интервалов для решения квадратных неравенств, получаем
|
Ответ: |
|