L
Решить неравенства:|
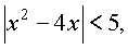
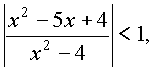
3.2.1. |
|
|
|
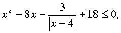
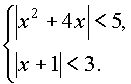
3.2.2. |
|
|
|
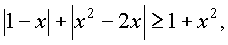
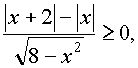
3.2.3. |
|
|
|
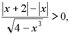
3.2.4. |
|
|
|
3.2.5. |
|
|
|
3.2.6. |
|
|
|
3.2.7. |
|
|
|
3.2.8. |
|
|
|
3.2.9. |
|
|
|
3.2.10. |
|
|
|
3.2.11. |
|
|
|
3.2.12. |
|
|
|
3.2.13. |
|
|
|
3.2.14. |
|
|
|
3.2.15. |
|
|
|
3.2.16. |
|
|
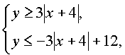
3.2.17. Определить отношение площади круга, вписанного в фигуру, заданную на координатной плоскости системой неравенств

![]()
к площади этой фигуры.
Ответ: Sк
: Sф = 3p : 20.
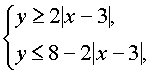
3.2.18. Определить отношение площади круга, вписанного в фигуру, заданную на координатной плоскости системой неравенств

к площади этой фигуры.
Ответ: Sк
: Sф = p : 5.J