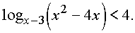
Пример 3.4.12. ( КубГУ, ФПМ, 1992 г.). Решить неравенство

Решение

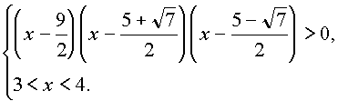
Неравенство равносильно совокупности систем

или

Применим метод интервалов или

 Ответ: