Пример
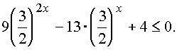
3.4.2. (КубГУ, матем., устн. экз.). Решить неравенство
.
Решение
|
Заметим, что функция стоящая в правой части неравенства однородна |
||||
|
относительно переменных |
|
Далее, т.к. |
|
|
|
то, разделив обе части неравенства на |
|
приходим к неравенству |
||
равносильному исходному

|
Откуда после замены |
|
приходим к неравенствам |
![]()
Возвращаясь теперь к переменной
x, получаем
|
Ответ: |
|