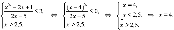
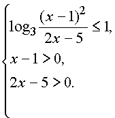
Пример 3.4.5. (КубГТУ). Решить неравенство

.

Решение

Неравенство равносильно системе

Последние два неравенства системы определяют ОДЗ исходного неравенства.

Откуда после равносильных преобразований получаем

Ответ: