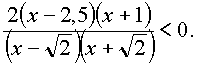
Пример 3.1.2. (КубГУ, эконом., 1990 г.)

Решить неравенство

Решение:

Исходное неравенство равносильно неравенству

Последнее неравенство решается методом интервалов:

 

Ответ: