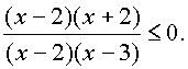
Пример 3.1.3.

Решить неравенство

Решение:

Разложив числитель и знаменатель на множители, получаем

Откуда, применяя метод интервалов, имеем

 

 Ответ: