L
Ðåøèòü íåðàâåíñòâà:|
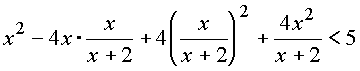
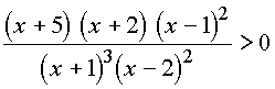
3.1.1 |
ÊóáÃÓ ÔÏÌ, 1990 ã. |
|
|
|
|
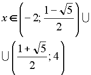
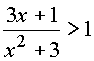
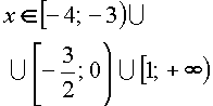
3.1.2 |
ÊóáÃÓÔÏÌ, 1990 ã. |
|
|
|
|
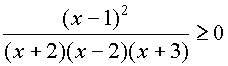
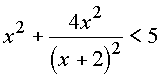
3.1.3 |
ÊóáÃÓôèçè÷. 1990 ã. |
|
|
|
|
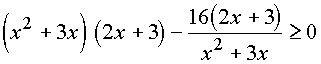
3.1.4 |
ÊóáÃÓýêîíîì 1990 ã.) |
|
|
|
|
3.1.5 |
ÊóáÃÓýêîíîì., 1990 ã. |
|
|
|
|
3.1.6 |
|
|
|
|
|
3.1.7 |
|
|
|
|
|
3.1.8 |
|
|
|
|
|
3.1.9 |
|
Óêàçàíèå : Çàïèñàòü íåðàâåíñòâî â âèäå
|
|
|
|
|
|
|
||
|
3.1.10 |
|
|
|
|
|
3.1.11 |
|
|
|
|
|
3.1.12 |
|
|
|
|