О некоторых методах решения неравенств

В этом разделе на примере некоторых типов неравенств будут рассмотрены часто встречающиеся приемы их решения.

Рекомендуем перед чтением просмотреть соответствующие темы из справочника, приведенного в книге.

При решении неравенств обычно рекомендуют рассматривать неравенство в системе с неравенствами, определяющими область определения, входящих в неравенство функций (т.е. область допустимых значений или ОДЗ), и применять метод равносильных преобразований систем.

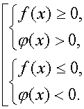
Ключевой момент в решении неравенства – преобразование его к виду, в котором левая часть представляет собой произведение каких-либо функций, а правая – равна нулю. После такого преобразования применяют правило расщепления неравенств:

@Правило расщепления

Неравенство равносильно совокупности систем:

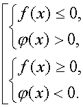
Неравенство равносильно совокупности систем:

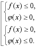
Неравенство равносильно совокупности систем:

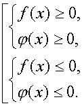
Неравенство равносильно совокупности систем:

Таким образом, при применении правила расщепления неравенств необходимо сначала аккуратно выписать все случаи, когда это неравенство справедливо, т.е. выписать совокупность соответствующих систем неравенств, а затем решить каждую из этих систем и объединить в ответе полученные множества решений.

Аналогичное правило может быть сформулировано и для строгих неравенств.

Заметим, что при решении нестрогого неравенства в множество всех решений строгого неравенства включаются множество корней соответствующего уравнения.

 

В процессе решения может оказаться, что в левой части (подразумевается, что правая часть равна нулю) число сомножителей бывает довольно велико, а значит, непосредственное применение правил расщепления приводит к трудоемкому решению нескольких систем. В такой ситуации, часто, оказывается эффективным применение метода интервалов.

@Метод интервалов применяют для неравенств вида f(x)>0 (вместо знака > могут быть знаки ). На числовой оси, внутри области допустимых значений, выделяют интервалы, на которых функция f(x) имеет постоянный знак. Часто концевыми точками таких интервалов являются точки, в которых f(x)= 0 или не определена, т.е. задача о выделении интервалов знакопостоянства сводится в этом случае к решению соответствующих уравнений. Затем определяют знаки на этих интервалах, т.е. у каждого из получившихся интервалов ставят знак плюс или минус в зависимости от того какой знак имеет f(x) на данном интервале, изучают концевые точки и выписывают ответ.

Рассмотрим важный частный случай применения метода интервалов для алгебраических неравенств.

Сформулируем правило расстановки знаков при решении неравенств вида

где .

На координатную ось наносят числа x1,x2,...,xn, которые разбивают её на интервалы знакопостоянства функции, стоящей в левой части неравенства. В промежутке справа от xn ставят знак “+”, затем, двигаясь справа налево, при переходе через точку xi меняют знак, т.е. левее xn ставят знак ”–”, затем “+” и т.д.

Множество решений неравенства будет объединение интервалов, в каждом из которых поставлен знак “+”.

Аналогично может быть описано решение неравенств, в которых вместо знака > стоят знаки <, .

При решении неравенств вида

;

правило расстановки знаков изменяется в том смысле, что, двигаясь, справа налево, при переходе через точку xi меняют знак, если ki – нечетное, и не меняют знак, если ki четное. После этого множество решений определяют, как и в предыдущем случае.

При решении рациональных неравенств

,

где P(x) и Q(x) – многочлены, методом интервалов на числовую ось наносятся точки, в которых числитель и знаменатель обращаются в ноль. Далее на полученных интервалах расставляются знаки, которые определяются или непосредственными вычислениями в удобных точках, взятых внутри этих интервалов, или в соответствии с правилом расстановки знаков и выписывается ответ. В частности, если P(x) и Q(x) не

содержат множителей вида

, где

, или общих множителей (x-d) в одинаковых

степенях, то достаточно определить знак

в любом интервале, а в остальных интервалах

знаки будут чередоваться.

Методы решения неравенств

 

 Internet-school | Школа "Абитуриент" | Учебное пособие | Краткий справочник по математике | Наши адреса