ДРОБНО - ЛИНЕЙНАЯ ФУНКЦИЯ
|
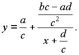
Функция вида |
|
называется дробно-линейной, если |
|
Частным случаем при
c = 0 является линейная функция. Действительно,|
в этом случае |
|
и |
|
|
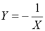
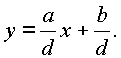
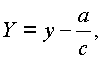
Если |
|
то |
|
|
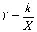
Полагая |
|
|
|
получим |
|
|
- равнобочная гипербола. |
|
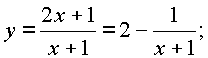
Пример. |
|
|
|
|
|
|
|
|
|
