Утверждения о расположении корней квадратного трехчлена
Пусть f(x)=ax
2+bx+c имеет действительные корни x1 и x2, а M – какое-нибудь действительное число, D=b2 – 4ac.Утверждение 1.
Для того чтобы оба корня квадратного трехчлена были меньше, чем число M (т.е. лежали на числовой оси левее, чем точка M), необходимо и достаточно выполнение следующих условий:|
|
или |
|

Утверждение 2
. Для того чтобы один из корней квадратного трехчлена был меньше, чем число M, а другой больше, чем число M (т.е. точка M лежала бы между корнями), необходимо и достаточно выполнение условий:|
|
или |
|

Утверждение 3.
Для того чтобы оба корня квадратного трехчлена были больше, чем число M (т.е. лежали на числовой оси правее, чем точка M), необходимо и достаточно выполнение условий:|
|
или |
|

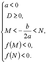
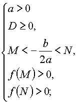
Утверждение 4.
Для того чтобы оба корня квадратного трехчлена были больше, чем число M, но меньше, чем число N (M<N), т.е. лежали в интервале между M и N, необходимо и достаточно:|
|
или |
|

Утверждение 5
. Для того чтобы только больший корень квадратного трехчлена лежал в интервале [M,N] (M < N), необходимо и достаточно:|
|
или |
|
(при этом меньший корень лежит вне отрезка [M, N]).

Утверждение 6
. Для того чтобы только меньший корень квадратного трехчлена лежал в интервале [M, N], необходимо и достаточно:|
|
или |
|
(
при этом больший корень лежит вне отрезка [M, N]).
Утверждение 7
. Для того чтобы один из корней квадратного трехчлена был меньше, чем M, а другой больше, чем N (M < N), т.е. отрезок [M, N] целиком лежал внутри интервала между корнями, необходимо и достаточно:|
|
или |
|
