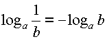
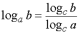
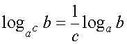
ФОРМУЛЫ ДЛЯ ПРЕОБРАЗОВАНИЯ
ЛОГАРИФМИЧЕСКИХ ВЫРАЖЕНИЙ
|
В приведенных ниже формулах предполагается, что |
|
|
|
для |
|
|
|
для |
|
|
|
для |
|
|
|
|
для |
|
|
|
|
для |
|
|
|
для |
|
|
|
|
для |
|
|
|
для |
|
|
|
для |
|
|
|
|
|
для |
|
|
При сравнении двух логарифмических выражений удобно пользоваться эквивалентностью следующих неравенств. Если основания логарифмов одинаковы, то
|
при |
|
|
|
при |
|
|
Если одинаковы числа, от которых вычисляются логарифмы, и
|
|
|
или |
|
и |
|
то |
|
при |
|
|
|
при |
|
|