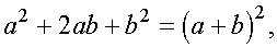
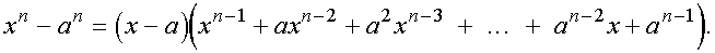
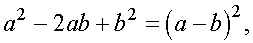
ÐÀÇËÎÆÅÍÈÅ ÍÀ ÌÍÎÆÈÒÅËÈ

ãäå

è

- êîðíè óðàâíåíèÿ