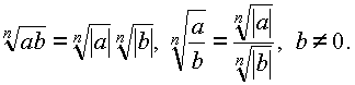
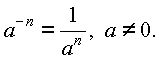
опюбхкю деиярбхи ян яреоемълх