ИРРАЦИОНАЛЬНЫЕ НЕРАВЕНСТВА
Под иррациональным
неравенством понимается неравенство, в котором неизвестные величины (или некоторые функции неизвестных величин) находятся под знаком радикала. Для того, чтобы найти множество решений иррационального неравенства, приходится, как правило, возводить обе части неравенства в натуральную степень. При этом необходимо следить за тем, чтобы при преобразовании неравенств каждый раз получалось неравенство, эквивалентное исходному.Иррациональное неравенство
|
|
равносильно системе неравенств
|
|
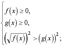
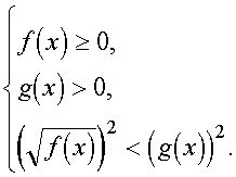
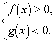
Иррациональное неравенство
|
|
равносильно совокупности двух систем неравенств:
|
|
|