ПРОСТЕЙШИЕ ЛОГАРИФМИЧЕСКИЕ НЕРАВЕНСТВА
|
Простейшими логарифмическими неравенствами называются |
|||||
|
неравенства вида |
|
|
(a, b - действительные |
||
|
числа, |
|
). |
|||
|
Для неравенства |
|
множества решений будут следующими: |
|
при a > 1 |
|
|
|
|
|
при |
a < 1 |
|
|
|
|
|
|
Для неравенства |
|
множества решений будут следующими: |
|
при a > 1 |
|
|
|
|
|
при 0 < a < 1 |
|
|
|
|
|
Множества решений нестрогих неравенств |
|
и |
|
|
|
находятся как объединение множеств решений соответствующего |
||||
|
строгого неравенства и уравнения |
|
|||
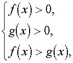
Логарифмическое неравенство
![]()
|
при |
a > 1 |
равносильно системе неравенств |

|
а при |
0 < a < 1 |
системе неравенств |
