АРИФМЕТИЧЕСКАЯ ПРОГРЕССИЯ
|
Числовую последовательность |
|
каждый член которой, начиная |
|
со второго, равен предшествующему члену, сложенному с одним и тем |
||
|
же числом d называют арифметической прогрессией. Это число d |
||
|
называют разностью арифметической прогрессии. |
||
|
Последовательность |
|
является арифметической прогрессией |
||
|
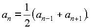
тогда и только тогда, когда для любого n > 1 верно равенство |
||||
|
|
||||
|
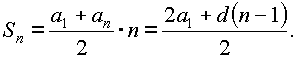
Для арифметической прогрессии |
|
имеем: |
|
|
|
|
||
где
d – разность прогрессии, а Sn – сумма ее первых n членов.Чтобы задать арифметическую прогрессию достаточно задать ее первый член и разность прогрессии.
Свойства членов арифметической прогрессии.
|
1. |
|
|
2. |
|