СООТНОШЕНИЯ МЕЖДУ ФУНКЦИЯМИ
ОДНОГО АРГУМЕНТА
|
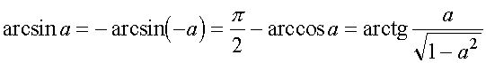
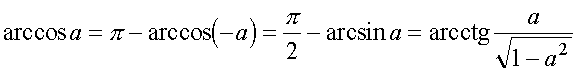
В формулах 1, 2 самые правые равенства верны при |
|
|
1. |
|
2. |
|
3. |
|
4. |
|
Формулы 5 и 6 выполняются при |
|
5. |
|
6. |
|
Формула 7 выполняется при |
|
7. |
|
8. |
|
9. |