Пример№1
Содержание раздела Разобранные примеры Задачи для самостоятельного решения

Из одного пункта одновременно и в одном направлении выехали два велосипедиста, первый со скоростью a км/ч, а второй со скоростью b км/ч. Через полчаса в том же направлении выехал третий велосипедист, который, после того как обогнал первого велосипедиста, находился в пути ещё полтора часа пока догнал второго. Определить скорость третьего велосипедиста.
 

Решение

Заметим сначала, что из условия задачи видно, что b>a. Далее, пусть v – скорость третьего велосипедиста, а t – время, за которое он догнал первого. Тогда имеем систему уравнений
 

 


Из первого уравнения находим t=a/(2(x-a)).

Подставляя это t во второе уравнение, приходим к уравнению

. Дискриминант этого уравнения всегда положителен, так как при b>a

.

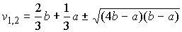
Следовательно, само уравнение имеет два вещественных корня

.

Однако, поскольку a<b, то корень уравнения

оказывается меньше b, что противоречит смыслу задачи. Поэтому это значение v не является решением задачи.

Ответ:.
 

Содержание раздела Разобранные примеры Задачи для самостоятельного решения