Содержание раздела Разобранные примеры Задачи для самостоятельного решения

Пример 1.

Найти третью сторону треугольника, если даны две стороны а и b и известно, что медианы, соответствующие этим сторонам, пересекаются под прямым углом. При каких условиях такой треугольник существует?
 

Решение

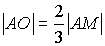
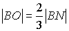
Пусть искомая сторона равна c.
По теореме Пифагора, применённой для , DAОВ, DBОM, и учитывая, что , получаем систему уравнений:
 


Отсюда находим .

Выпишем теперь условия существования треугольника со сторонами a, b, c: .

В нашем случае эти условия приобретают вид
 


 


Первое из неравенств выполняется при всех  и b. Из второго получаем
 


 

 

Ответ:   Такой треугольник существует при условии .

Содержание раздела Разобранные примеры Задачи для самостоятельного решения