Пример 1
. Решить систему уравнений|
|
Решение
Используя основные симметрические многочлены
u= x+y и v= xy, получим следующую систему уравнений|
|
Подставляя из второго уравнения системы выражение v= -3-u в первое уравнение системы, получим следующее уравнение
2u2+7u+5= 0,
корнями которого являются
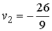
u1= -1, u2= -2,5, а соответствующие им значения v1= -2, v2= -0,5 получаются из v= -3-u.Теперь осталось решить следующую совокупность систем
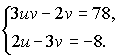
|
|
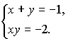
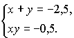
И |
|
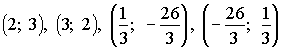
Решения этой совокупности систем, а значит и исходной системы (в силу их эквивалентности), таковы
|
|
.
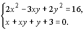
Пример 2
. Решить систему уравнений|
|
Решение
С помощью основных симметрических многочленов данная система может быть записана в следующем виде
|
|
||
|
Выражая из второго уравнения |
|
|
и подставляя его в первое уравнение, получим
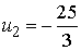
9v2-28v-156= 0.|
Корни этого уравнения v1= 6, |
|
Позволяют найти |
||
|
Соответствующие им значения u1= 5, |
|
из выражения |
||
|
|
||||
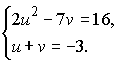
Решим теперь следующую совокупность систем
|
|
и |
|
В силу простоты этих систем приведем лишь ответ.
|
Ответ: |
|
.