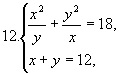
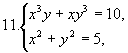
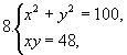
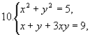
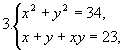
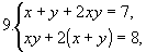
Решить системы уравнений