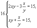
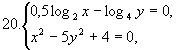
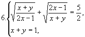
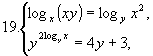
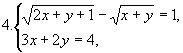
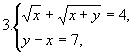
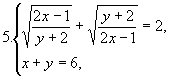
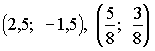
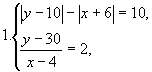
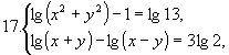
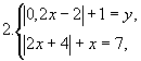
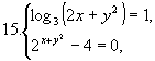
Решить системы уравнений