Пример 2.1. Решить систему уравнений

Решение: Выразим любое неизвестное, например, y, из второго уравнения y= x-3 и подставим его в первое уравнение, после чего получим уравнение x2+15x-100= 0, корнями которого являются x1= -20, x2= 5. Соответствующие значения второго неизвестного получим из соотношения y= x-3, т.е. y1= -23, y2= 2.

Ответ: (-20;-23), (5;2).

Пример 2.2. Решить систему уравнений

Решение: Решая эту систему тем же методом, что и в примере 2.1, приходим к следующему уравнению x2+15x+60= 0, которое не имеет действительных корней, т.к. его дискриминант меньше нуля (D= -15). Значит и исходная система уравнений не имеет решения.

Ответ: система не имеет решения.

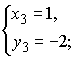
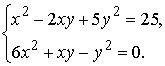
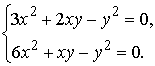
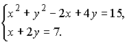
Пример 2.3. Решить систему уравнений

Решение: Выразив из второго уравнения x= 7-2y и подставив его в первое уравнение, получим следующее уравнение с одним неизвестным y2-4y+4= 0, которое имеет два равных корня y1,2= 2. Соответствующее значение другого неизвестного находим из выражения x= 7-2y, т.е. x= 3.

Ответ: (3;2).

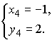
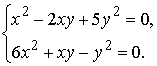
Пример 2.4. Решить систему уравнений

Решение: Кроме очевидного решения x1= 0, y1= 0 будем искать другие решения,

т.е. полагаем, что

и разделим обе части второго уравнения на x2,

после чего, сделав замену переменных

получим следующее

уравнение t2-t-6= 0, корнями которого являются t1= 3, t2= -2.

Подставляя последовательно y=3x и y= -2x в первое уравнение системы, получим два квадратных уравнения соответственно

9x2-9x2= 0 и 5x2= 0

Первое из них верно для любого значения x, а второе – лишь для x= 0. В силу того, что y= -2x не дало нам решения, отличного от нулевого, а y= 3x поставляет для первого уравнения системы бесконечное множество решений, окончательно можно ответ записать так: x– любое действительное число, а y= 3x (здесь содержится и нулевое решение).

Ответ:

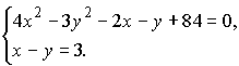
Пример 2.5. Решить систему уравнений

Решение: Решая эту систему, как и предыдущую, приходим к следующему квадратному уравнению t2-t-6= 0,

корни которого дают следующие две зависимости между исходными неизвестными: y= 3x и y= -2x. Но, подставляя их в первое уравнение системы, приходим к выводу, что других решений, отличных от нулевых значений каждого неизвестного, не существует.

Ответ: (0;0).

Рассмотрим теперь систему, аналогичную предыдущей, но только один из свободных членов равен нулю. Решение таких систем начинается с решения того уравнения, свободный член которого равен нулю. Сделав замену

переменных

(либо

а это вполне оправдано, т.к.

другое уравнение системы убеждает нас в том, что ни x= 0, ни y= 0 не могут быть его решением, приходим к квадратному уравнению относительно одного неизвестного. Далее следуем известным путем.

Пример 2.6. Решить систему уравнений

Решение: Значения x= 0 и y= 0 удовлетворяют только второму (однородному) уравнению и не удовлетворяют первому уравнению системы. А поэтому быть решением системы они не могут. Поэтому, разделив в однородном уравнении обе его части на x2, прейдем, как и ранее, к квадратному уравнению

относительно новой переменной

t2-t-6= 0.

Корни этого уравнения t1= 3 и t2= -2 позволяют установить зависимость между исходными неизвестными y=3x и y= -2x. Подставляя их последовательно в первое уравнение системы, находим соответственно

и

 Значения другого неизвестного, отвечающего найденным значениям первого неизвестного, получим из равенств y= 3x и y= -2x, т.е.

и

 Решения исходной системы можно записать так

Но можно ответ записать более компактно, если записывать оба знака сразу и читать их по верхней строчке, а затем по нижней .

Ответ:

где знаки – оба верхних или оба

нижних.

Сделав эту оговорку, впредь (по мере возможности) будем записывать ответы компактно.

 

Рассмотрим теперь систему, содержащую два квадратных уравнения (без первых степеней неизвестных), но ни один из свободных членов не равен нулю, т. е.

где

Умножим первое уравнение на d2, а второе на d1 и вычтем одно из другого, в результате чего получим однородное уравнение, которое в совокупности с любым уравнением исходной системы решается ранее рассмотренным способом.

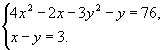
Пример 2.6. Решить систему уравнений

Решение: Умножим первое уравнение на 23, а второе – на 15 и вычтем одно из другого, в результате чего получаем следующее уравнение 22x2+39xy+14y2= 0.

В силу того, что x= 0 и y= 0, удовлетворяющие последнему уравнению, не удовлетворяют ни одному уравнению исходной системы, то ищем решение

последнего уравнения при условии, например,

Разделив обе

части однородного уравнения на x2 и сделав замену

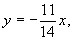
получим уравнение 14t2+39t+22= 0, корнями которого являются t1= -2 и t2= -11/14

Это означает, что y= -2x и

будучи подставленными

последовательно в любое уравнение исходной системы, дают два квадратных уравнения x2= 1 и 15x2= 49, корнями которых являются

и

Соответствующие им значения другого неизвестного могут быть

получены из соотношений y= -2x и

т.е.

и

Ответ:

Рассмотренные примеры могут быть решены и другими способами, а порой, и более простыми, чем нами рассмотренными. Они для нас были просто моделью, на которой иллюстрировался данный метод решения. Например, в задании 2.1 достаточно вычесть одно уравнение из другого, чтобы получить более простое уравнение 3x2-xy= 0 или x(3x-y)= 0. А для избавления от второй степени неизвестного x в исходной системе достаточно уравнять коэффициенты и вычесть одно уравнение из другого, в результате чего тоже получим более простое уравнение 3xy-y2= 0 или y(3x-y)= 0 и т.д.

Примеры 2.3 и 2.4 могут быть решены путем исключения слагаемых, содержащих вторую степень одного из неизвестных, а из полученного уравнения выразить оставшееся неизвестное в первой степени. Подставив его в любое уравнение исходной системы, получим, вообще говоря, уравнение четвертой степени (биквадратное), которое решается известным методом. Например, в примере 2.3 таким биквадратным уравнением будет следующее:

8x4-13x2+5= 0.

Сделав замену x2= t, получим квадратное уравнение, корнями которого

будут t1=1,

а для биквадратного уравнения корни соответственно

Соответствующие значения второго неизвестного могут быть найдены из

соотношения

и т.д.

В примере 2.4 в одном из вариантов биквадратное уравнение может быть таким 60y4-361y2+484= 0,

а соответствующее ему квадратное уравнение имеет корни t1= 4 и

и т.д.