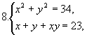
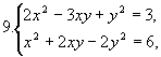
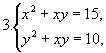
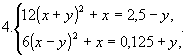
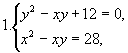
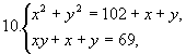
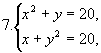
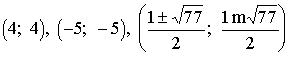
Решить системы уравнений