|
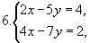
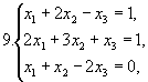
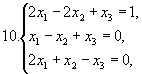
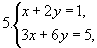
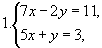
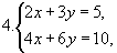
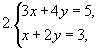
Решить системы уравнений |
|
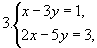
|
|
|
|
|
|
|
|
|
|
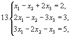
|
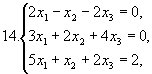
x=t; y=(5-2t)/3; t-любое действительное число |
|
|
(решения нет) |
|
|
|
|
|
|
|
|
|
|
|
|
|
|
|
|
|
|
|
|
|
|
|
|
|
|
(решения нет). |