Пример
4.4.1. Группа студентов решила купить магнитофон ценой от 170 до 195 рублей. Однако в последний момент двое отказались участвовать в покупке, и каждому пришлось внести на 1 рубль больше. Сколько студентов участвовало в покупке?|
Решение: Пусть x рублей – стоимость магнитофона, y – первоначальное число студентов. Тогда каждому |
||||
|
студенту пришлось затратить |
|
рубля, а предполагалось |
|
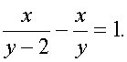
рублей, что на 1 рубль меньше. |
|
Откуда следует уравнение |
|
|||
Выразим из этого уравнения
y через x, решив для этого его как квадратное уравнение,
Второе соотношение по смыслу не удовлетворяет условию задачи, т.к. число студентов – натуральное число.
|
С другой стороны, т.к. |
|
, то для y имеем соотношение |
|
||
|
В этих пределах находится лишь одно натуральное число |
|
. |
|||
Таким образом, первоначальное число студентов составило 20 человек, а участвовали в покупке 18, при этом магнитофон стоил 180 рублей.