Пример
4.4.2. При подведении итогов работы бригады за месяц вычислено, что процент числа членов бригады перевыполнивших намеченный план, составляет от 92,5 % до 93,5 %. Определить минимальное возможное число членов бригады.|
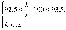
Решение: Пусть в бригаде работает n – человек, а среди них k – перевыполнивших план. Тогда по |
||
|
условию задачи имеет место система неравенств |
|
|
|
Откуда получаем |
|
|
|
|
||
Из последнего неравенства легко видно, что, начиная с
k = 13, выражение n - k больше 1, т.е. наименьшее n, которое удовлетворяет условиям задачи, равно 14.Ответ: наименьшее возможное число членов бригады – 14 человек.