Пример
4.4.3. (КубГУ, эконом., 1993 г.) Как набрать сумму 146 руб. из 20 купюр достоинством 1, 3, 5, 10 рублей, если число “пятирублевок” больше числа “трехрублевок” и не больше “десятирублевок” (предполагается, что в набираемой сумме должны присутствовать купюры всех достоинств).Решение:
Пусть x, y, z, t – число купюр достоинством 1, 3, 5, 10 рублей соответственно.|
Тогда |
|
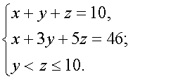
, и имеет место система |
|||||
|
|
|||||||
|
Вычитая из второго уравнения системы первое, получим |
|||||||
|
|
, (2) |
||||||
|
откуда видим, что t– четное число. С другой стороны, применяя неравенство системы к уравнению (2) |
|||||||
|
и учитывая, что, |
|
получаем |
|
. |
|||
|
Таким образом, |
|
. И т.к. t– целое, четное, то возможны лишь два случая t=10,12. |
|||
|
При |
|
система (1) принимает вид |
|
||
|
Откуда, также как и выше, получаем |
|
||||
Следовательно,
y – четное и z > 6, а y < 6, т.е. для y возможны лишь два случая y = 2, y = 4.При
y = 2 из уравнения y + 2z = 18 вытекает z = 8, что невозможно, т.к. y + z должно быть меньше 10.При
y = 4 получаем z = 7 , что невозможно, т.к. y + z должно быть меньше 10.|
Исследуем случай t = 12 . Имеем из системы (1) |
|
|
|
Откуда видно, что y – нечетное, причем |
|
|
т.е.
y < 3 и, значит, y = 1, но тогда z = 4, а x = 3.Ответ: купюр по 1 рублю – 3, по 3 рубля – 1,