Пример 4.1.1
. (КубГУ, матем., 1971 г.)Из города выехал грузовик со скоростью
60 км/ч. Через 2 часа вдогонку выехал мотоциклист. В некоторый момент времени расстояние между ними было 80 км. Если бы скорость мотоциклиста была в 5/4 раза больше, чем в действительности, то это расстояние оказалось бы в три раза меньше. Найти скорость мотоциклиста.|
Решение: Пусть скорость мотоциклиста v км/ч, а t – время до момента, когда расстояние |
|
|
между ними впервые стало равно 80 км. Тогда за время t ч грузовик прошел расстояние |
|
|
60t км, а мотоциклист за время t - 2 проехал v(t - 2) км. Откуда получаем уравнение |
|
|
|
. |
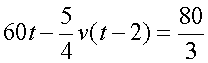
Аналогично из второго условия вытекает второе уравнение
.
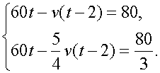
Таким образом, получаем систему уравнений

Вычитая теперь из первого уравнения второе и умножая затем обе части полученного уравнения на 4, приходим к соотношению
![]()
Теперь из первого уравнения следует
t = 44/9, следовательно,|
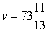
v = 960/13 = |
|
км/ч. |
|
Ответ: |
|
км/ч. |