Пример
4.1.2. (КубГУ, матем., 1972 г.)Два самолета вылетели одновременно из пунктов
A и B навстречу друг другу и встретились на расстоянии 100 км от середины AB. Если бы первый самолет вылетел на 20 минут позже второго, то они встретились бы на четверти пути от A, а если бы второй самолет вылетел на 20 минут позже первого, то они встретились бы на полпути. Определить скорости самолетов.Решение:
Пусть скорости первого и второго самолетов равны соответственно V1 и V2 км/ч, а расстояние между A и В – S км.Для составления системы уравнений составим таблицу:
|
Условия задачи |
Уравнения |
|
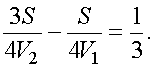
Если бы первый самолет вылетел на 20 минут позже второго, то они встретились бы на четверти пути от А. |
|
|
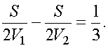
Если бы второй самолет вылетел на 20 минут позже первого, то они встретились бы на полпути. |
|
Заметим, что как видно из второго уравнения V
2 > V1 т.е. первое условие задачи позволяет заключить:|
Самолеты встретились на расстоянии 100 км от середины |
|
Таким образом, приходим к системе уравнений

|
Откуда S = 800 км, |
|
км/ч, |
|
км/ч. |