Пример
4.1.3. (КубГУ, ФПМ, 1993 г.)Грузовой и легковой автомобили выехали одновременно навстречу друг другу соответственно из пунктов
А и В. После встречи грузовой автомобиль прибывает в В через два часа, а легковой в А через 9/8 часа. Каждый едет с постоянной скоростью без остановки и, приехав в конечный пункт, тут же поворачивает обратно, и на обратном пути встречаются в 60 км от В. Найти время затраченное каждым автомобилем на поездку туда и обратно.Решение:
Пусть скорость грузового автомобиля V1 км/ч, скорость легкового автомобиля V2 км/ч, а расстояние от А до В равно S км.Тогда имеем:
|
первая встреча грузовика и легкового автомобиля |
|
Следовательно, получаем первые два уравнения:
|
Условия задачи |
Уравнения |
|
После встречи грузовой автомобиль прибывает в B через 2 ч, легковой автомобиль в А через 9/8 ч. |
|
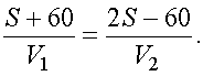
Для получения второго уравнения рассмотрим второе условие:
|
вторая встреча грузовика и легкового автомобиля |
|
|
Приехав в конечный пункт, они тут же поворачивают обратно, и на обратном пути встречаются в 60 км. |
|
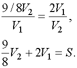
Итак, приходим к системе уравнений:

|
По условию задачи нам необходимо найти величины: |
|
|
|
Однако удается определить и остальные переменные |
|
|
|
Ответ: |
|
|